1999 College Scholastic Ability Test

Mathematics·Studies (I)

Arts & Phys. Ed.
What is the value of \(\log_2 6-\log_2\dfrac{3}{2}\)? [2 points]
  1. \(0\)
  2. \(-1\)
  3. \(1\)
  4. \(-2\)
  5. \(2\)
If \(\sin x+\cos x=\sqrt{2}\), what is the value of \(\sin x\cos x\)? [2 points]
  1. \(1\)
  2. \(\sqrt{2}\)
  3. \(-\sqrt{2}\)
  4. \(\dfrac{1}{2}\)
  5. \(-\dfrac{1}{2}\)
Let \(f(x)=2x+1\) and \(g(x)=3x^2-1\). What is the value of \(g(f(0))\)? [2 points]
  1. \(-1\)
  2. \(0\)
  3. \(1\)
  4. \(2\)
  5. \(3\)
How many integers \(x\) satisfy the following system of inequalities? [3 points]
\(\begin{cases} 2x<x+4\\\\ x^2-4x-5<0 \end{cases}\)
  1. \(1\)
  2. \(2\)
  3. \(3\)
  4. \(4\)
  5. \(5\)
Which option contains every pair of functions in the <List> that are exactly the same? [2 points]
  1. \(\begin{cases} y=\log(x-1)(x-2)\\[4pt] y=\log(x-1)+\log(x-2) \end{cases}\)
  2. \(\begin{aligned} \\ \Bigg\{ \end{aligned}\) \(\begin{array}{l} y=\dfrac{x^2-1}{x-1}\\[4pt] y=x+1 \end{array}\)
  3. \(\begin{cases} y=x\\[4pt] y=\sqrt[3]{x^3} \end{cases}\)
  1. a
  2. b
  3. c
  4. b, c
  5. a, c

Mathematics·Studies (I)

Arts & Phys. Ed.
Let the inverse of the fuction \(f(x)=\dfrac{x-1}{x-2}\) be \(f^{-1}(x)=\dfrac{ax+b}{x+c}\). What is the sum \(a+b+c\) of the constants \(a,b\) and \(c\)? [2 points]
  1. \(-1\)
  2. \(0\)
  3. \(1\)
  4. \(2\)
  5. \(3\)
If \(2^a=c\) and \(2^b=d\), which option below is equal to \(\left(\!\dfrac{1}{2}\!\right)^{\!2a+b}\)? [3 points]
  1. \(\dfrac{1}{cd}\)
  2. \(\dfrac{1}{2cd}\)
  3. \(\dfrac{1}{c^2d}\)
  4. \(-cd\)
  5. \(-2cd\)
For all positive integers \(n\), let the set \(A_n\) be
\(A_n\!=\{x\,|\,x\) is a positive integer coprime with \(n\}\).
What is the list of correct statements in the <List>? [3 points]
  1. \(A_2=A_4\)
  2. \(A_3=A_6\)
  3. \(A_6=A_3\cap A_4\)
  1. a
  2. b
  3. c
  4. a, c
  5. a, b, c
What is the image of the function
\(f(x)=\lfloor x \rfloor+\lfloor -x \rfloor\)
defined on the set of all real numbers \(x\)? (※ \(\lfloor x \rfloor\) is the greatest integer less than or equal to \(x\).) [3 points]
  1. \(\{0,-1\}\)
  2. \(\{1,-1\}\)
  3. \(\{0,1\}\)
  4. \(\{0,1,-1\}\)
  5. \(\{0\}\)

Mathematics·Studies (I)

Arts & Phys. Ed.
Let us depict the union and the intersection of sets \(A\) and \(B\) as shown below.
In the figure below, what is appropriate for \((\alpha)\)? [3 points]
  1. \(\{1,2,3,4\}\)
  2. \(\{1,2,3,5\}\)
  3. \(\{2,3,5\}\)
  4. \(\{1,3,5\}\)
  5. \(\{3,5\}\)
Figure shows a rectangular cuboid with \(\overline{\mathrm{AB}}=2, \overline{\mathrm{BC}}=1\) and \(\overline{\mathrm{BE}}=1\). What is the area of the triangle \(\mathrm{AEC}\)? [3 points]

  1. \(1\)
  2. \(\sqrt{2}\)
  3. \(\dfrac{3}{2}\)
  4. \(\dfrac{3}{2}\sqrt{2}\)
  5. \(2\)
On the \(xy\)-plane, what is the distance between the two intersections of the circle \((x-1)^2+(y-1)^2=10\) and the \(y\)-axis? [3 points]
  1. \(2\)
  2. \(4\)
  3. \(6\)
  4. \(8\)
  5. \(10\)

Mathematics·Studies (I)

Arts & Phys. Ed.
For real numbers \(x\) and \(y\), let us use \(x*y\) to denote
\(x*y=\begin{cases} x&(x\geq y)\\ y&(x\leq y). \end{cases}\)
For example, \(2*1=2\).
Let \(A=\{a,b,c,d\}\) be a set of \(4\) distinct real numbers that satisfies the following.
  1. \(x*a=x\) for all elements \(x\) in \(A\).
  2. \(c*d<c*b\)
Which option below is correct? [3 points]
  1. \(b<c<a\)
  2. \(b<d<a\)
  3. \(d<b<c\)
  4. \(a<b<c\)
  5. \(a<c<b\)
On the \(xy\)-plane, a point \(\mathrm{P}(x,y)\) moves according to the following rules. Point \(\mathrm{P}\) started from point \(\mathrm{A}(6,5)\), and stopped moving after reaching point \(\mathrm{B}\). What is the number of times it moves from \(\mathrm{A}\) until it reaches \(\mathrm{B}\)? [2 points]
  1. If \(y=2x\), do not move.
  2. If \(y<2x\), move \(-1\) units horizontally.
  3. If \(y>2x\), move \(-1\) units vertically.
  1. \(4\)
  2. \(5\)
  3. \(6\)
  4. \(7\)
  5. \(8\)
The following is a proof of the statement ‘If \(n\) is not divisible by any primes that are \(\sqrt{n}\) or less, then \(n\) is prime’ for all integers \(n\) greater than \(1\).
<Proof>
Let us assume the conclusion is false and \(n\) is not prime. Then there are integers \(l\) and \(m\) greater than \(1\) such that \(n=lm\). Let \(p\) be a prime factor of \(l\), and \(q\) be a prime factor of \(m\). Then \(pq\) is a divisor of \(lm\), so \(pq\leq n\). If \(p>\sqrt{n}\) and \(q>\sqrt{n}\), then \(pq>\sqrt{n}\sqrt{n}=n\) which is a contradiction. Thus, it should be that \(\fbox{\(\qquad\quad(\alpha)\quad\qquad\)}\).
This means there is a prime factor of \(n\) that is \(\sqrt{n}\) or less. However, this contradicts the premise.
Thus \(n\) is prime.
In the proof above, what is appropriate for \((\alpha)\)? [2 points]
  1. \(p\leq\sqrt{n}\) or \(q\leq\sqrt{n}\)
  2. \(p\leq\sqrt{n}\) and \(q\leq\sqrt{n}\)
  3. \(p\leq\sqrt{n}\) or \(q\geq\sqrt{n}\)
  4. \(p\leq\sqrt{n}\) and \(q\geq\sqrt{n}\)
  5. \(p\geq\sqrt{n}\) or \(q\geq\sqrt{n}\)
What is the equation of the tangent line to the circle \(x^2+y^2=5\) at point \((1,2)\)? [2 points]
  1. \(x+y=3\)
  2. \(2x-y=0\)
  3. \(x-2y=-3\)
  4. \(2x+y=4\)
  5. \(x+2y=5\)

Mathematics·Studies (I)

Arts & Phys. Ed.
Consider a square with side lengths of \(1\). Let us divide this square into four rectangles with two perpendicular lines. Let the area of each region be \(\mathrm{A,B,C}\) and \(\mathrm{D}\) respectively, as the figure shows. Which option contains every statement in the <List> that is always true? [3 points]
  1. If \(\mathrm{A}>\dfrac{1}{4}\),  then \(\:\mathrm{C}<\dfrac{1}{4}\).
  2. If \(\mathrm{A}<\dfrac{1}{4}\),  then \(\:\mathrm{D}>\dfrac{1}{4}\).
  3. If \(\mathrm{A}>\dfrac{1}{4}\),  then \(\:\mathrm{D}<\dfrac{1}{4}\).
  1. a
  2. b
  3. c
  4. a, c
  5. b, c
For all positive numbers \(x\), let \(f(x)\) be the number of primes less than or equal to \(x\). For example, \(f\!\left(\!\dfrac{5}{2}\!\right)=1\) and \(f(5)=3\). What is the list of correct statements in the <List>? [3 points]
  1. \(f(10)=4\)
  2. \(f(x)<x\) for all positive numbers \(x\).
  3. \(f(x+1)=f(x)\) for all positive numbers \(x\).
  1. a
  2. a, b
  3. a, c
  4. b, c
  5. a, b, c
For a tetrahedron \(\mathrm{ABCD}\), let \(\mathrm{P,Q,R}\) and \(\mathrm{S}\) be the midpoint of edges \(\mathrm{BC,CD,DB}\) and \(\mathrm{AD}\) respectively. What is the ratio of the volume of tetrahedrons \(\mathrm{APQR}\) and \(\mathrm{SQDR}\)? [3 points]
  1. \(1:1\)
  2. \(2:1\)
  3. \(3:1\)
  4. \(3:2\)
  5. \(4:1\)
On the \(xy\)-plane, suppose a point \((x,y)\) is moving in the region that satisfies the inequality \(-x\leq y\leq 2-x^2\). What is the maximum value of \(x+y\)? [3 points]
  1. \(\dfrac{5}{4}\)
  2. \(\dfrac{7}{4}\)
  3. \(\dfrac{9}{4}\)
  4. \(\dfrac{11}{4}\)
  5. \(\dfrac{13}{4}\)

Mathematics·Studies (I)

Arts & Phys. Ed.
Figure shows a point \(\mathrm{A}\) on a circle with radius \(1\), and inscribed triangles of the circle with point \(\mathrm{A}\) as a vertex and the angle at \(\mathrm{A}\) being \(30°\).
Let us draw as many such triangles as possible without having an overlap. Let \(\mathrm{P}_1, \mathrm{P}_2, \cdots, \mathrm{P}_n, \mathrm{P}_{n+1}\) be the vertices of the triangles except vertex \(\mathrm{A}\), in counter-clockwise order. What is the sum of the lengths of line segments \(\overline{\mathrm{P_1 P_2}},\overline{\mathrm{P_2 P_3}},\cdots,\overline{\mathrm{P_n P_{n+1}}}\)? [3 points]
  1. \(5\)
  2. \(5\sqrt{3}\)
  3. \(\dfrac{5}{2}\sqrt{3}\)
  4. \(4\)
  5. \(4\sqrt{3}\)
The rain intensity is an indicator of the rate at which rain falls. Suppose the rain intensity \(I\) in some region is a function of the duration \(T\), such that
\(I=\dfrac{1}{60}\left(\dfrac{T+6571}{T+41}-1\right)\).
Which option below appropriately depicts the relation between \(I\) and \(T\)? (※ \(T>0\,\)) [2 points]
Consider points \(\mathrm{A}\) and \(\mathrm{B}\) on Earth. Two satellites are positioned in points \(\mathrm{A'}\) and \(\mathrm{B'}\) with an altitude of \(3600\text{km}\), directly above the two points on Earth, respectively. Given that \(\angle\mathrm{BB'A'}=60°\), what is the distance between the two satellites in \(\text{km}\)?
(※ Suppose the Earth is a sphere with a radius of \(6400\text{km}\).) [3 points]
  1. \(5000\)
  2. \(5000\sqrt{2}\)
  3. \(5000\sqrt{3}\)
  4. \(6400\)
  5. \(10000\)
If a radio wave passes through a wall and its strength changes from \(\mathrm{A}\) to \(\mathrm{B}\), then the damping ratio \(\mathrm{F}\) of that wall is defined as
\(\mathrm{F}=10\log\left(\!\dfrac{\mathrm{B}}{\mathrm{A}}\!\right)\) (decibels).
If a radio wave passes through a wall with a damping ratio of \(-7\) (decibels), what is the strength of the radio wave after it passes through the wall, divided by its strength before it passes through the wall?
(※ Suppose \(10^{\,\begin{array}{c}3 \\\hline 10\end{array}}=2\).) [3 points]
  1. \(\dfrac{1}{10}\)
  2. \(\dfrac{1}{5}\)
  3. \(\dfrac{3}{10}\)
  4. \(\dfrac{1}{2}\)
  5. \(\dfrac{7}{10}\)

Mathematics·Studies (I)

Arts & Phys. Ed.
Short Answers (25~30)
Let \(a\) and \(b\) be real numbers such that \(1+2i\) is a solution to the equation \(x^2-ax+b=0\).
Compute \(ab\). [3 points]
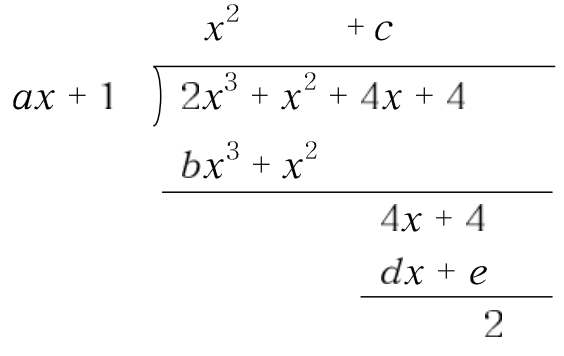
The following process divides a cubic equation on \(x\) by a linear equation on \(x\). For real numbers \(a,b,c,d\) and \(e\), compute the sum \(a+b+c+d+e\). [2 points]
Consider a sphere with a radius of \(30\). Let us fix an end of a string with a length of \(5\pi\) at a point \(\mathrm{N}\) on the sphere. Let us revolve the other end of the string once around the sphere while pulling the string tight along the surface of the sphere. Let \(l\) be the length of the locus of the end of the string on the surface of the sphere. Compute \(\dfrac{l}{\pi}\). [3 points]

Mathematics·Studies (I)

Arts & Phys. Ed.
Compute the positive integer \(n\) that satisfies all of the following. [3 points]
  1. \(n\) is a divisor of \(60\).
  2. \(n\) is the sum of two positive integers with a ratio of \(3:7\).
  3. \(n\) has \(6\) divisors.
Compute the radius of a circle on the \(xy\)-plane with center \((1,2)\) which is tangent to the line \(3x+4y=1\). [3 points]
Consider a compound deposit product of a bank with an annual interest rate. If a compound deposit product calculates interest \(n\) times a year, then the rate of interest calculated each time is \(\dfrac{\text{Annual interest rate}}{n}\). The effective rate of return of this product is defined as
\(\dfrac{\text{Total interest after }1\text{ year}}{\text{Principal}}\times 100(\%)\).
Suppose a compound deposit product has an annual interest rate of \(10\%\) and calculates interest every \(6\) months. Compute the effective rate of return\((\%)\) of this product up to two decimal places. [3 points]