2024 College Scholastic Ability Test

Mathematics

Multiple Choice Questions
What is the value of \({\sqrt[3]{24} \times 3^{\,\begin{array}{c}2 \\\hline 3\end{array}}}\)? [2 points]
  1. \(6\)
  2. \(7\)
  3. \(8\)
  4. \(9\)
  5. \(10\)
Let \(f(x)=2x^3 - 5x^2 + 3\). What is the value of \(\displaystyle\lim_{h\;\!\to\;\!0} \dfrac{f(2+h) - f(2)}{h}\)? [2 points]
  1. \(1\)
  2. \(2\)
  3. \(3\)
  4. \(4\)
  5. \(5\)
For \(\theta\) satisfying \(\dfrac{3}{2}\pi < \theta < 2\pi\) and \(\sin(-\theta) = \dfrac{1}{3}\), what is the value of \(\tan\theta\)? [3 points]
  1. \(-\dfrac{\sqrt{2}}{2}\)
  2. \(-\dfrac{\sqrt{2}}{4}\)
  3. \(-\dfrac{1}{4}\)
  4. \(\dfrac{1}{4}\)
  5. \(\dfrac{\sqrt{2}}{4}\)
The function
\( f(x) = \begin{cases} 3x-a & \; (x < 2)\\ \\ x^2+a & \; (x \geq 2) \end{cases} \)
is continuous on the set of all real numbers. What is the value of the constant \(a\)? [3 points]
  1. \(1\)
  2. \(2\)
  3. \(3\)
  4. \(4\)
  5. \(5\)

Mathematics

Let \(f(x)\) be a polynomial function such that
\(f'(x)=3x(x-2)\:\) and \(\: f(1)=6\).
What is the value of \(f(2)\)? [3 points]
  1. \(1\)
  2. \(2\)
  3. \(3\)
  4. \(4\)
  5. \(5\)
Let \(S_n\) be the sum of the first \(n\) terms of a geometric progression \(\{a_n\}\). Given that
\(S_4 - S_2 = 3a_4\:\) and \(\:a_5=\dfrac{3}{4}\),
what is the value of \(a_1 + a_2\)? [3 points]
  1. \(27\)
  2. \(24\)
  3. \(21\)
  4. \(18\)
  5. \(15\)
The function \(f(x)=\dfrac{1}{3}x^3 - 2x^2 - 12x + 4\) has a local maximum at \(x=\alpha\) and a local minimum at \(x=\beta\). What is the value of \(\beta - \alpha\)?
(※ \(\alpha\) and \(\beta\) are constants.) [3 points]
  1. \(-4\)
  2. \(-1\)
  3. \(2\)
  4. \(5\)
  5. \(8\)

Mathematics

Let \(f(x)\) be a cubic function such that
\(xf(x) - f(x) = 3x^4 - 3x\)
for all real numbers \(x\).
What is the value of \(\displaystyle\int_{-2}^2 f(x)dx\)? [3 points]
  1. \(12\)
  2. \(16\)
  3. \(20\)
  4. \(24\)
  5. \(28\)
Consider points \(\mathrm{P}(\log_5 3)\) and \(\mathrm{Q}(\log_5 12)\) on the number line. If the point internally dividing the line segment \(\mathrm{PQ}\) in the ratio of \(m : (1-m)\) has a coordinate of \(1\), what is the value of \(4^m\)? [4 points]
  1. \(\dfrac{7}{6}\)
  2. \(\dfrac{4}{3}\)
  3. \(\dfrac{3}{2}\)
  4. \(\dfrac{5}{3}\)
  5. \(\dfrac{11}{6}\)
Let \(\mathrm{P}\) and \(\mathrm{Q}\) be points moving on the number line, both starting from the origin at time \(t=0\). The velocity of points \(\mathrm{P}\) and \(\mathrm{Q}\) at time \(t \,(t \geq 0)\) are
\(v_1(t) = t^2-6t+5 \:\) and \(\: v_2(t)=2t-7\),
respectively. Let \(f(t)\) be the distance between points \(\mathrm{P}\) and \(\mathrm{Q}\) at time \(t\). The function \(f(t)\) increases on the interval \([0, a]\), decreases on the interval \([a, b]\), and increases on the interval \([b, \infty)\). What is the distance that point \(\mathrm{Q}\) travels from time \(t=a\) to \(t=b\)? [4 points]
  1. \(\dfrac{15}{2}\)
  2. \(\dfrac{17}{2}\)
  3. \(\dfrac{19}{2}\)
  4. \(\dfrac{21}{2}\)
  5. \(\dfrac{23}{2}\)

Mathematics

Let \(\{a_n\}\) be an arithmetic progression whose common difference is not \(0\), such that
\(|a_6| = a_8\:\) and \(\displaystyle\:\sum_{k\;\!=\;\!1}^5 \dfrac{1}{a_k a_{k+1}} = \dfrac{5}{96}\).
What is the value of \(\displaystyle\sum_{k\;\!=\;\!1}^{15} a_k\)? [4 points]
  1. \(60\)
  2. \(65\)
  3. \(70\)
  4. \(75\)
  5. \(80\)
Let \(f(x) = \dfrac{1}{9} x(x-6)(x-9)\). Consider the function
\( g(x) = \begin{cases} f(x) & \; (x < t)\\ \\ -(x-t)+f(t) & \; (x \geq t) \end{cases} \)
defined for some real number \(t \, (0<t<6)\). What is the maximum area of the region enclosed by the graph of the function \(y=g(x)\) and the \(x\)-axis? [4 points]
  1. \(\dfrac{125}{4}\)
  2. \(\dfrac{127}{4}\)
  3. \(\dfrac{129}{4}\)
  4. \(\dfrac{131}{4}\)
  5. \(\dfrac{133}{4}\)

Mathematics

Figure shows a quadrilateral \(\mathrm{ABCD}\) with
\(\overline{\mathrm{AB}} = 3,\: \overline{\mathrm{BC}} = \sqrt{13},\: \overline{\mathrm{AD}} \times \overline{\mathrm{CD}} = 9\)
and \(\angle \mathrm{BAC} = \dfrac{\pi}{3}\).
Let \(S_1\) be the area of triangle \(\mathrm{ABC}\), \(S_2\) be the area of triangle \(\mathrm{ACD}\), and \(R\) be the radius of the circumcircle of triangle \(\mathrm{ACD}\).
If \(S_2 = \dfrac{5}{6}S_1\), what is the value of \(\dfrac{R}{\sin(\angle \mathrm{ADC})}\)? [4 points]
Figure for question 13
  1. \(\dfrac{54}{25}\)
  2. \(\dfrac{117}{50}\)
  3. \(\dfrac{63}{25}\)
  4. \(\dfrac{27}{10}\)
  5. \(\dfrac{72}{25}\)
A function \(f(x)\) is defined as
\( f(x) = \begin{cases} 2x^3-6x+1 & \; (x \leq 2)\\ \\ a(x-2)(x-b)+9 & \; (x > 2) \end{cases} \)
where \(a\) and \(b\) are positive integers. For real numbers \(t\), let \(g(t)\) be the number of points where the graph of the function \(y=f(x)\) meets the line \(y=t\). Suppose there is exactly \(1\) real number \(k\) such that
\(\displaystyle g(k) + \lim_{t\;\!\to\;\!k-}\!g(t) + \lim_{t\;\!\to\;\!k+}\!g(t) = 9\).
Among all pairs of positive integers \((a, b)\) that satisfy this condition, what is the maximum value of \(a+b\)? [4 points]
  1. \(51\)
  2. \(52\)
  3. \(53\)
  4. \(54\)
  5. \(55\)

Mathematics

Let \(\{a_n\}\) be a sequence whose initial term is a positive integer, such that
\( a_{n+1} = \begin{cases} 2^{a_n} & \; (a_n \text{ is odd})\\ \\ \dfrac{1}{2}a_n & \; (a_n \text{ is even}) \end{cases} \)
for all positive integers \(n\). What is the sum of all values of \(a_1\) for which \(a_6 + a_7 = 3\)? [4 points]
  1. \(139\)
  2. \(146\)
  3. \(153\)
  4. \(160\)
  5. \(167\)
Short Answer Questions
Compute the value of \(x\) such that \(3^{x-8} = \left(\!\dfrac{1}{27}\!\right)^{\!x}\). [3 points]
Let \(f(x)=(x+1)\!\left(x^2+3\right)\). Compute \(f'(1)\). [3 points]

Mathematics

Let \(\{a_n\}\) and \(\{b_n\}\) be sequences such that
\(\displaystyle\sum_{k\;\!=\;\!1}^{10}a_k = \sum_{k\;\!=\;\!1}^{10}(2b_k-1)\)
and \(\displaystyle\sum_{k\;\!=\;\!1}^{10}(3a_k + b_k) = 33\).
Compute \(\displaystyle\sum_{k\;\!=\;\!1}^{10}b_k\). [3 points]
Let \(f(x)=\sin\dfrac{\pi}{4}x\). For \(0<x<16\), compute the sum of all integers \(x\) for which the inequality
\(f(2+x)f(2-x) < \dfrac{1}{4}\)
is satisfied. [3 points]
The function \(f(x)\) is defined as
\(f(x)=-x^3+ax^2+2x\)
for some real number \(a>\sqrt{2}\).
Let \(\mathrm{A}\) be the point where the tangent line to the curve \(y=f(x)\) at point \(\mathrm{O}(0, 0)\), meets the curve \(y=f(x)\) again (\(\mathrm{A} \ne \mathrm{O}\)). Let \(\mathrm{B}\) be the point where the tangent line to the curve \(y=f(x)\) at point \(\mathrm{A}\), meets the \(x\)-axis. Given that point \(\mathrm{A}\) is on the circle with the line segment \(\mathrm{OB}\) as a diameter, compute \(\overline{\mathrm{OA}} \times \overline{\mathrm{AB}}\). [4 points]

Mathematics

For positive numbers \(a\), let \(f(x)\) be a function defined on \(x \geq -1\) such that
\( f(x) = \begin{cases} -x^2 + 6x & \; (-1 \leq x < 6)\\ \\ a\log_4 (x-5) & \; (x \geq 6). \end{cases} \)
For all real numbers \(t \geq 0\), let \(g(t)\) be the maximum value of \(f(x)\) over the closed interval \([t-1, t+1]\). Compute the minimum value of the positive number \(a\) such that the minimum value of \(g(t)\) over the interval \([0, \infty)\) is \(5\). [4 points]
A cubic function \(f(x)\) with a leading coefficient of \(1\) satisfies the following.
An integer \(k\) satisfying
\(f(k-1)f(k+1) < 0\)
does not exist.
Given that \(f'\!\left(\!-\dfrac{1}{4}\!\right)\! = -\dfrac{1}{4}\:\) and \(\:f'\!\left(\!\dfrac{1}{4}\!\right)\! < 0\),
compute \(f(8)\). [4 points]

2024 College Scholastic Ability Test

Mathematics (Prob. & Stat.)

Multiple Choice Questions
What is the number of ways to arrange all of the \(5\) letters \(x, x, y, y\) and \(z\) in a straight line? [2 points]
  1. \(10\)
  2. \(20\)
  3. \(30\)
  4. \(40\)
  5. \(50\)
Let \(A\) and \(B\) be independent events, such that
\(\mathrm{P}(A\cap B) = \dfrac{1}{4}\:\) and \(\:\mathrm{P}\left(A^C\right) = 2\mathrm{P}(A)\).
What is the value of \(\mathrm{P}(B)\)? [3 points]
  1. \(\dfrac{3}{8}\)
  2. \(\dfrac{1}{2}\)
  3. \(\dfrac{5}{8}\)
  4. \(\dfrac{3}{4}\)
  5. \(\dfrac{7}{8}\)

Mathematics (Prob. & Stat.)

There are \(6\) cards marked with numbers \(1, 2, 3, 4, 5\) and \(6\) respectively. Let us randomly arrange these \(6\) cards in a line, such that each card appears only once. What is the probability that the sum of two numbers written on the cards in each end is \(10\) or less? [3 points]
  1. \(\dfrac{8}{15}\)
  2. \(\dfrac{19}{30}\)
  3. \(\dfrac{11}{15}\)
  4. \(\dfrac{5}{6}\)
  5. \(\dfrac{14}{15}\)
Figure for question 25 (Prob. & Stat.)
Suppose \(4\) coins are thrown at the same time. Let the random variable \(X\) be the number of coins that land on heads. Let \(Y\) be a discrete random variable such that
\( Y= \begin{cases} X & \; (\text{if }X=0\text{ or }X=1)\\ \\ 2 & \; (\text{if }X\geq 2).\\ \end{cases} \)
What is the value of \(\mathrm{E}(Y)\)? [3 points]
  1. \(\dfrac{25}{16}\)
  2. \(\dfrac{13}{8}\)
  3. \(\dfrac{27}{16}\)
  4. \(\dfrac{7}{4}\)
  5. \(\dfrac{29}{16}\)

Mathematics (Prob. & Stat.)

A sample of size \(49\) was randomly sampled from a population following the normal distribution \(\mathrm{N}\!\left(m, 5^2\right)\), and the sample mean was \(\overline{x}\).
The \(95\%\) confidence interval for the population mean \(m\) computed with this sample is \(a \leq m \leq \dfrac{6}{5}a\).
What is the value of \(\overline{x}\)?
(※ For a random variable \(Z\) that follows the standard normal distribution, suppose \(\mathrm{P}(|Z| \leq 1.96) = 0.95\).) [3 points]
  1. \(15.2\)
  2. \(15.4\)
  3. \(15.6\)
  4. \(15.8\)
  5. \(16.0\)
There is a sack and two boxes \(\mathrm{A}\) and \(\mathrm{B}\). In the sack, there are \(4\) cards marked with numbers \(1, 2, 3\) and \(4\) respectively. In box \(\mathrm{A}\), there are at least \(8\) white balls and black balls each. Box \(\mathrm{B}\) is empty. Let us perform the following trial using the sack and boxes.
Randomly take out a card from the sack, check the number marked on it, and put it back in the sack.
If the checked number is \(1\),
move \(1\) white ball from box \(\mathrm{A}\) to box \(\mathrm{B}\).
If the checked number is \(2\) or \(3\),
move \(1\) white ball and \(1\) black ball from box \(\mathrm{A}\) to box \(\mathrm{B}\).
If the checked number is \(4\),
move \(2\) white balls and \(1\) black ball from box \(\mathrm{A}\) to box \(\mathrm{B}\).
Suppose that after repeating this trial \(4\) times, the number of balls in box \(\mathrm{B}\) is \(8\). What is the probability that the number of black balls in box \(\mathrm{B}\) is \(2\)? [4 points]
  1. \(\dfrac{3}{70}\)
  2. \(\dfrac{2}{35}\)
  3. \(\dfrac{1}{14}\)
  4. \(\dfrac{3}{35}\)
  5. \(\dfrac{1}{10}\)
Figure for question 28 (Prob. & Stat.)

Mathematics (Prob. & Stat.)

Short Answer Questions
Compute the number of \(4\)-tuples \((a, b, c, d)\) such that \(a, b, c\) and \(d\) are positive integers less than or equal to \(6\), and the following is satisfied. [4 points]
\(a \leq c \leq d\:\) and \(\:b \leq c \leq d\).
For all positive numbers \(t\), let \(X\) be a random variable that follows the normal distribution \(\mathrm{N}\!\left(1, t^2\right)\). Among all positive numbers \(t\) such that
\(\mathrm{P}(X \leq 5t) \geq \dfrac{1}{2}\),
let \(k\) be the maximum value of \(\mathrm{P}\!\left(t^2\!-\!t\!+\!1 \leq\! X \!\leq t^2\!+\!t\!+\!1\right)\), computed with the standard normal table to the right. Compute \(1000\times k\). [4 points]
\(z\) \(\mathrm{P}(0\!\leq\! Z \!\leq\!z)\)
\(0.6\) \(0.226\)
\(0.8\) \(0.288\)
\(1.0\) \(0.341\)
\(1.2\) \(0.385\)
\(1.4\) \(0.419\)

2024 College Scholastic Ability Test

Mathematics (Calculus)

Multiple Choice Questions
What is the value of \(\displaystyle\lim_{x\;\!\to\;\!0}\dfrac{\ln(1+3x)}{\ln(1+5x)}\)? [2 points]
  1. \(\dfrac{1}{5}\)
  2. \(\dfrac{2}{5}\)
  3. \(\dfrac{3}{5}\)
  4. \(\dfrac{4}{5}\)
  5. \(1\)
On the curve defined in parametric equations
\(x=\ln\!\left(t^3+1\right)\:\) and \(\:y=\sin\pi t\)
with the parameter \(t\,(t>0)\), what is the value of \(\dfrac{dy}{dx}\) when \(t = 1\)? [3 points]
  1. \(-\dfrac{1}{3}\pi\)
  2. \(-\dfrac{2}{3}\pi\)
  3. \(-\pi\)
  4. \(-\dfrac{4}{3}\pi\)
  5. \(-\dfrac{5}{3}\pi\)

Mathematics (Calculus)

Consider two differentiable functions \(f(x)\) and \(g(x)\) defined on the set of all positive numbers. Suppose \(g(x)\) is the inverse of \(f(x)\), and \(g'(x)\) is continuous on the set of all positive numbers.
Suppose that
\(\displaystyle\int_1^a \!\!\dfrac{1}{g'(f(x))f(x)} dx = 2\ln a + \ln(a+1) - \ln \! 2\)
for all positive numbers \(a\), and suppose \(f(1) = 8\). What is the value of \(f(2)\)? [3 points]
  1. \(36\)
  2. \(40\)
  3. \(44\)
  4. \(48\)
  5. \(52\)
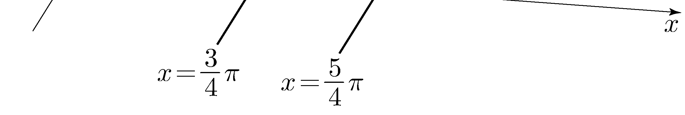
As the figure shows, there is a \(3\)-dimensional solid where one of its faces is the region enclosed by the curve \(y=\sqrt{(1-2x)\cos x}\) \(\left(\!\dfrac{3}{4}\pi \leq x \leq \dfrac{5}{4}\pi\!\right)\),
the \(x\)-axis, and two lines \(x=\dfrac{3}{4}\pi\) and \(x=\dfrac{5}{4}\pi\). Suppose a cross section of this solid and any plane perpendicular to the \(x\)-axis is always a square. What is the volume of this solid? [3 points]
Figure for question 26 (Calculus) (1) Figure for question 26 (Calculus) (2)
  1. \(\sqrt{2}\pi - \sqrt{2}\)
  2. \(\sqrt{2}\pi - 1\)
  3. \(2\sqrt{2}\pi - \sqrt{2}\)
  4. \(2\sqrt{2}\pi - 1\)
  5. \(2\sqrt{2}\pi\)

Mathematics (Calculus)

For all real numbers \(t\), let \(f(t)\) be the slope of the line that passes through the origin and is tangent to the curve \(y=\dfrac{1}{e^x}+e^t\). For some constant \(a\) satisfying \(f(a) = -e\sqrt{e}\), what is the value of \(f'(a)\)? [3 points]
  1. \(-\dfrac{1}{3}e\sqrt{e}\)
  2. \(-\dfrac{1}{2}e\sqrt{e}\)
  3. \(-\dfrac{2}{3}e\sqrt{e}\)
  4. \(-\dfrac{5}{6}e\sqrt{e}\)
  5. \(-e\sqrt{e}\)
Let \(f(x)\) be a function continuous on the set of all real numbers, such that \(f(x)\geq 0\) for all real numbers \(x\), and \(f(x) = -4xe^{4x^2}\) for all \(x<0\).
For all positive numbers \(t\), suppose that the equation \(f(x)=t\) (solved for \(x\)) has exactly \(2\) distinct real solutions. Let \(g(t)\) be the smallest solution and \(h(t)\) be the greatest solution.
Suppose that \(g(t)\) and \(h(t)\) satisfy
\(2g(t)+h(t)=k\:\) (\(k\) is a constant)
for all positive numbers \(t\). If \(\displaystyle\int_0^7 \!\! f(x)dx = e^4-1\),
what is the value of \(\dfrac{f(9)}{f(8)}\)? [4 points]
  1. \(\dfrac{3}{2}e^5\)
  2. \(\dfrac{4}{3}e^7\)
  3. \(\dfrac{5}{4}e^9\)
  4. \(\dfrac{6}{5}e^{11}\)
  5. \(\dfrac{7}{6}e^{13}\)

Mathematics (Calculus)

Short Answer Questions
Consider two geometric progressions \(\{a_n\}\) and \(\{b_n\}\) whose initial term and common ratio are not \(0\). Suppose that two infinite series \(\displaystyle\sum_{n\;\!=\;\!1}^\infty a_n\) and \(\displaystyle\sum_{n\;\!=\;\!1}^\infty b_n\) both converge, and
\(\displaystyle\sum_{n\;\!=\;\!1}^\infty a_n b_n = \left(\!\sum_{n\;\!=\;\!1}^\infty a_n\!\!\right) \!\times\! \left(\!\sum_{n\;\!=\;\!1}^\infty b_n\!\!\right)\)
and \(\:\displaystyle 3\!\times\! \sum_{n\;\!=\;\!1}^\infty |a_{2n}| = 7\!\times\! \sum_{n\;\!=\;\!1}^\infty |a_{3n}|\).
Given that \(\displaystyle\sum_{n\;\!=\;\!1}^\infty \dfrac{b_{2n-1}+b_{3n+1}}{b_n} = S\), compute \(120S\). [4 points]
Let \(f(x)\) be a function differentiable on the set of all real numbers, such that its derivative \(f'(x)\) is
\(f'(x) = |\sin x|\cos x\).
For all positive numbers \(a\), let \(y=g(x)\) be the equation of the tangent line to the curve \(y=f(x)\) at point \((a, f(a))\). Let us list, in ascending order, all positive numbers \(a\) such that the function
\(\displaystyle h(x)=\int_0^x \!\! \{f(t)-g(t)\}dt\)
has a local maximum or a local minimum at \(x=a\). Let \(a_n\) be the \(n\)th number in this list.
Compute \(\dfrac{100}{\pi} \times (a_6-a_2)\). [4 points]

2024 College Scholastic Ability Test

Mathematics (Geometry)

Multiple Choice Questions
Consider points \(\mathrm{A}(a, -2, 6)\) and \(\mathrm{B}(9, 2, b)\) in
\(3\)-dimensional space. If the midpoint of the line segment \(\mathrm{AB}\) has coordinates \((4, 0, 7)\), what is the value of \(a+b\)? [2 points]
  1. \(1\)
  2. \(3\)
  3. \(5\)
  4. \(7\)
  5. \(9\)
What is the slope of the tangent line to the ellipse \(\dfrac{x^2}{a^2}+\dfrac{y^2}{6}=1\) at point \((\sqrt{3}, -2)\) on the ellipse?
(※ \(a\) is a positive number.) [3 points]
  1. \(\sqrt{3}\)
  2. \(\dfrac{\sqrt{3}}{2}\)
  3. \(\dfrac{\sqrt{3}}{3}\)
  4. \(\dfrac{\sqrt{3}}{4}\)
  5. \(\dfrac{\sqrt{3}}{5}\)

Mathematics (Geometry)

Vectors \(\vec{a}\) and \(\vec{b}\) satisfy
\(\big|\vec{a}\big| = \sqrt{11}\), \(\big|\vec{a}\big| = 3\) and \(\big|2\vec{a}-\vec{b}\big| = \sqrt{17}\).
What is the value of \(\big|\vec{a} - \vec{b}\big|\)? [3 points]
  1. \(\dfrac{\sqrt{2}}{2}\)
  2. \(\sqrt{2}\)
  3. \(\dfrac{3\sqrt{2}}{2}\)
  4. \(2\sqrt{2}\)
  5. \(\dfrac{5\sqrt{2}}{2}\)
Consider a plane \(\alpha\) in \(3\)-dimensional space. For two distinct points \(\mathrm{A}\) and \(\mathrm{B}\) both not on plane \(\alpha\), let \(\mathrm{A}'\) and \(\mathrm{B}'\) be their projection onto plane \(\alpha\) respectively. Suppose that
\(\overline{\mathrm{AB}} = \overline{\mathrm{A'B'}} = 6\).
Let \(\mathrm{M}\) be the midpoint of the line segment \(\mathrm{AB}\), and \(\mathrm{M}'\) be its projection onto plane \(\alpha\). Let \(\mathrm{P}\) be a point on plane \(\alpha\) such that
\(\overline{\mathrm{PM'}} \perp \overline{\mathrm{A'B'}}\) and \(\overline{\mathrm{PM'}} = 6\).
If the projection of the triangle \(\mathrm{A'B'P}\) onto plane \(\mathrm{ABP}\) has an area of \(\dfrac{9}{2}\), what is the length of the line segment \(\mathrm{PM}\)? [3 points]
  1. \(12\)
  2. \(15\)
  3. \(18\)
  4. \(21\)
  5. \(24\)

Mathematics (Geometry)

A point \(\mathrm{A}\) is on the parabola \(y^2=8x\) with focus \(\mathrm{F}\). Let \(\mathrm{B}\) be the perpendicular foot from point \(\mathrm{A}\) to the directrix of the parabola, and let \(\mathrm{C}\) and \(\mathrm{D}\) be the two intersections of line \(\mathrm{BF}\) and the parabola.
If \(\overline{\mathrm{BC}} = \overline{\mathrm{CD}}\), what is the area of the triangle \(\mathrm{ABD}\)?
(※ \(\overline{\mathrm{CF}} < \overline{\mathrm{DF}}\). Point \(\mathrm{A}\) is not the origin.) [3 points]
  1. \(100\sqrt{2}\)
  2. \(104\sqrt{2}\)
  3. \(108\sqrt{2}\)
  4. \(112\sqrt{2}\)
  5. \(116\sqrt{2}\)
As the figure shows, points \(\mathrm{A}\) and \(\mathrm{B}\) are on the line of intersection between two distinct planes \(\alpha\) and \(\beta\) such that \(\overline{\mathrm{AB}} = 18\). A circle \(C_1\), with the line segment \(\mathrm{AB}\) as a diameter, is on plane \(\alpha\). An ellipse \(C_2\), with the line segment \(\mathrm{AB}\) as the major axis and two points \(\mathrm{F}\) and \(\mathrm{F'}\) as the foci, is on plane \(\beta\).
Let \(\mathrm{P}\) be a point on circle \(C_1\). Let \(\mathrm{H}\) be the perpendicular foot of point \(\mathrm{P}\) to plane \(\beta\).
Suppose that \(\overline{\mathrm{HF'}} < \overline{\mathrm{HF}}\) and \(\angle\mathrm{HFF'}=\dfrac{\pi}{6}\).
Among the intersections of line \(\mathrm{HF}\) and the ellipse \(C_2\), let \(\mathrm{Q}\) be the point that is closest to point \(\mathrm{H}\). Suppose that \(\overline{\mathrm{FH}} < \overline{\mathrm{FQ}}\).
A circle on plane \(\beta\), with center \(\mathrm{H}\) and radius \(4\), passes through point \(\mathrm{Q}\) and is tangent to the line \(\mathrm{AB}\). Let \(\theta\) be the angle between two planes \(\alpha\) and \(\beta\). What is the value of \(\cos\theta\)?
(※ Point \(\mathrm{P}\) is not on plane \(\beta\).) [4 points]
Figure for question 28 (Geometry)
  1. \(\dfrac{2\sqrt{66}}{33}\)
  2. \(\dfrac{4\sqrt{69}}{69}\)
  3. \(\dfrac{\sqrt{2}}{3}\)
  4. \(\dfrac{4\sqrt{3}}{15}\)
  5. \(\dfrac{2\sqrt{78}}{39}\)

Mathematics (Geometry)

Short Answer Questions
For all positive numbers \(c\), consider a hyperbola with foci \(\mathrm{F}(c, 0)\) and \(\mathrm{F'}(-c, 0)\) and a major axis of length \(6\). Compute the sum of all values of \(c\) for which there exist two distinct points \(\mathrm{P}\) and \(\mathrm{Q}\) on the hyperbola that satisfy the following. [4 points]
  1. Point \(\mathrm{P}\) is in the \(1\)st quadrant,
    and point \(\mathrm{Q}\) is on line \(\mathrm{PF'}\).
  2. The triangle \(\mathrm{PFF'}\) is an isosceles triangle.
  3. The perimeter of the triangle \(\mathrm{PQF}\) is \(28\).
Consider an equilateral triangle \(\mathrm{ABC}\) with side lengths of 4 on the \(xy\)-plane. Let \(\mathrm{D}\) be the point internally dividing the line segment \(\mathrm{AB}\) in the ratio \(1:3\). Let \(\mathrm{E}\) be the point internally dividing the line segment \(\mathrm{BC}\) in the ratio \(1:3\). Let \(\mathrm{F}\) be the point internally dividing the line segment \(\mathrm{CA}\) in the ratio \(1:3\). Let \(\mathrm{P,Q,R}\) and \(\mathrm{X}\) be points that satisfy the following.
  1. \(|\overrightarrow{\mathrm{DP}}| = |\overrightarrow{\mathrm{EQ}}| = |\overrightarrow{\mathrm{FR}}| = 1\)
  2. \(\overrightarrow{\mathrm{AX}} = \overrightarrow{\mathrm{PB}} + \overrightarrow{\mathrm{QC}} + \overrightarrow{\mathrm{RA}}\)
Let \(S\) be the area of the triangle \(\mathrm{PQR}\) such that the value of \(|\overrightarrow{\mathrm{AX}}|\) is the greatest. Compute \(16S^2\). [4 points]